各位,划重点了!就在 2025年7月4日,昆仑万维再次把他们最新的 AI 心脏——Skywork-Reward-V2 系列奖励模型,打包开源了!这不是普通的模型更新,这简直是 AI 领域的一场“小型地震”,还是那种威力巨大但又悄无声息的。

💥 参数“瘦身术”成新宠:0.6B 硬刚 70B?
让我来给你捋一捋这次的“怪事”。这次的 Skywork-Reward-V2 系列,玩的是参数“瘦身术”,但实力却像开了外挂一样暴涨!
- 模型阵容强大:从 6亿(0.6B)到80亿(8B)参数,足足 8个不同身材 的奖励模型,基座还选了当下最热门的 Qwen3 和 LLaMA3。你完全可以根据自己的“算力钱包”来选择。
- 参数效率惊人:最离谱的是,那个小小的 0.6B 模型,能力已经快赶上上一代最强的 27B 模型了!更不用说 1.7B 的版本,直接把市面上还在拼命堆参数的 70B 开源 SOTA 模型按在地上摩擦。而那个 8B 的旗舰款,更是直接成为了开源奖励模型界的新标杆,在所有测试中都碾压对手!

🧠 数据魔法新升级:4000万“心声”数据,AI能有多懂你?
要让 AI 理解人类的“心意”,数据是关键。昆仑万维这次玩得更大,直接构建了 4000万对偏好对比数据,这可是当前开源界规模最大的数据集了!
他们的秘诀是——“人机协同”的“双保险”数据策略:
- “黄金品质”打底:先用人类专家的“火眼金睛”去标注一批高质量的“金标准”数据,确保最核心的准确性。
- AI“借力打力”,快速扩张:接着,利用大模型的强大能力,在人类专家的指导下,快速扩展出海量“银标准”数据。
- 智能筛选,“优中选优”:最后,用已经训练好的奖励模型来做“终极判官”,从这 4000 万数据中,筛选出 2600万条真正高质量的“学霸级”数据。
而且,他们还做了个实验:仅用这 2600 万条数据中的 1.8%(也就是 29万条),就训练出了一个性能吊打 70B 模型的 8B 奖励模型!这简直是告诉全世界:在 AI 界,数据质量才是真正能改变游戏规则的关键!

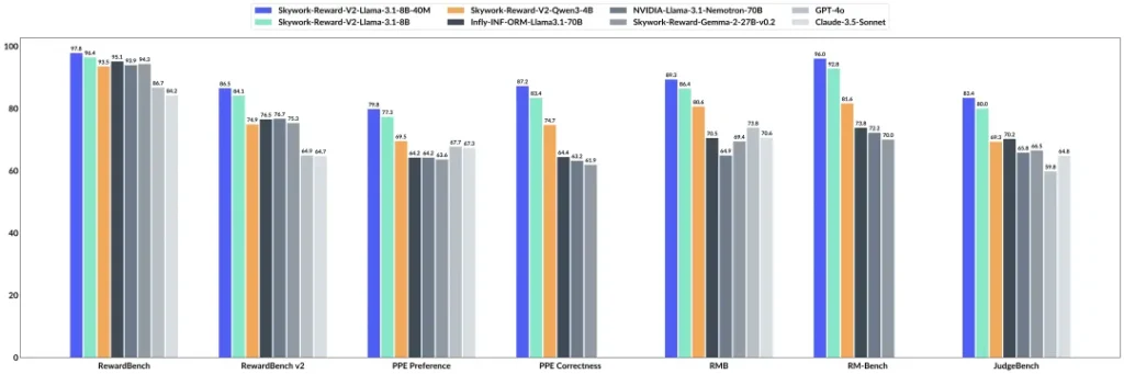
🏆 七大权威榜单“七冠王”:这不是偶然,这是实力!
你以为这是运气?那你就太小看昆仑万维了。Skywork-Reward-V2 系列在 七大主流奖励模型评测榜单 上,就像开了挂一样,全部登顶!
- 综合实力爆表:无论是 RewardBench v1/v2,还是 PPE Preference & Correctness,以及 RMB、RM-Bench、JudgeBench,它都表现出了统治级的实力。
- 人类偏好大师:在评判模型回答是否符合人类喜好时,它甚至比那些参数量更大的模型还要出色。
- 知识判断的“老司机”:在 JudgeBench 这种考验知识密度的任务上,它对是非的判断准确率已经非常接近 OpenAI 等顶尖的闭源模型了。
- “抗压”能力满分:面对风格偏差、复杂指令、甚至是真实性判断等各种刁钻的任务,它都表现得游刃有余。

🌍 开源的“天工”力量:赋能全球 AI 开发者
昆仑万维这次开源,不只是为了秀肌肉,更是为了推动整个 AI 生态的发展。
- 社区影响力升级:他们去年的第一代模型,在 Hugging Face 上的下载量已经超过 75万次!这次的 V2 版本,无疑会再次点燃社区的热情,加速 RLHF(基于人类反馈的强化学习) 的研究进程。
- AI价值观的“指南针”:昆仑万维的目标是让奖励模型不再只是一个“行为评估器”,而是成为 AI 系统价值观的“指南针”,帮助我们构建更负责任、更安全的 AI。
而且,他们还说了,未来会继续探索更多的训练技术和建模目标,奖励模型的作用会越来越重要,可能会成为驱动智能体学习、可验证奖励强化学习(RLVR)等前沿领域的核心组件。
🎁 想体验这“AI心电感应”?链接在这里!
心动不如行动!想亲自感受一下这“AI读心术”的魅力?直接点这里:
- Hugging Face 模型库:https://huggingface.co/collections/Skywork/skywork-reward-v2
- GitHub 技术文档:https://github.com/SkyworkAI/Skywork-Reward-V2

✨ 我的个人看法:数据为王,开源无界!
作为一名 AI 爱好者和观察者,我必须说,昆仑万维这次的 Skywork-Reward-V2 系列,再次为整个行业树立了一个新的标杆。他们用事实证明了:参数固然重要,但高质量、经过精心打磨的数据,才是真正能让模型脱颖而出的关键!
而且,他们持续的开源行动,是在用实际行动告诉大家:AI 的进步不应该只属于少数巨头,更应该属于整个社区。这种开放、共享的精神,才是推动技术前行的强大引擎。
总之,如果你对大模型训练、RLHF、或者想让你的 AI 助手更懂你,那么 Skywork-Reward-V2 系列绝对是你不能错过的宝藏!快去试试吧,也许下一个 AI 领域的突破,就藏在你的手中!
如果你也对最新的AI信息感兴趣或者有疑问 都可以加入我的大家庭 第一时间分享最新AI资讯、工具、教程、文档 欢迎你的加入!!!😉😉😉
公众号:墨风如雪小站

文章评论